Cooke Aquaculture fined for water quality violations at net pen facility
Published 1:30 am Wednesday, December 13, 2017
Submitted by Washington Department of Ecology
Without water quality protections in place, Cooke Aquaculture Pacific (Cooke) has repeatedly cleaned dirty equipment and discharged polluted wastewater into Puget Sound. Cooke operates commercial Atlantic salmon net pens in Washington state.
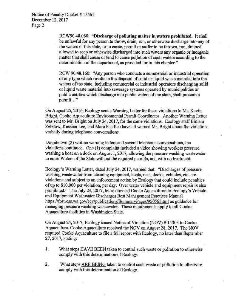
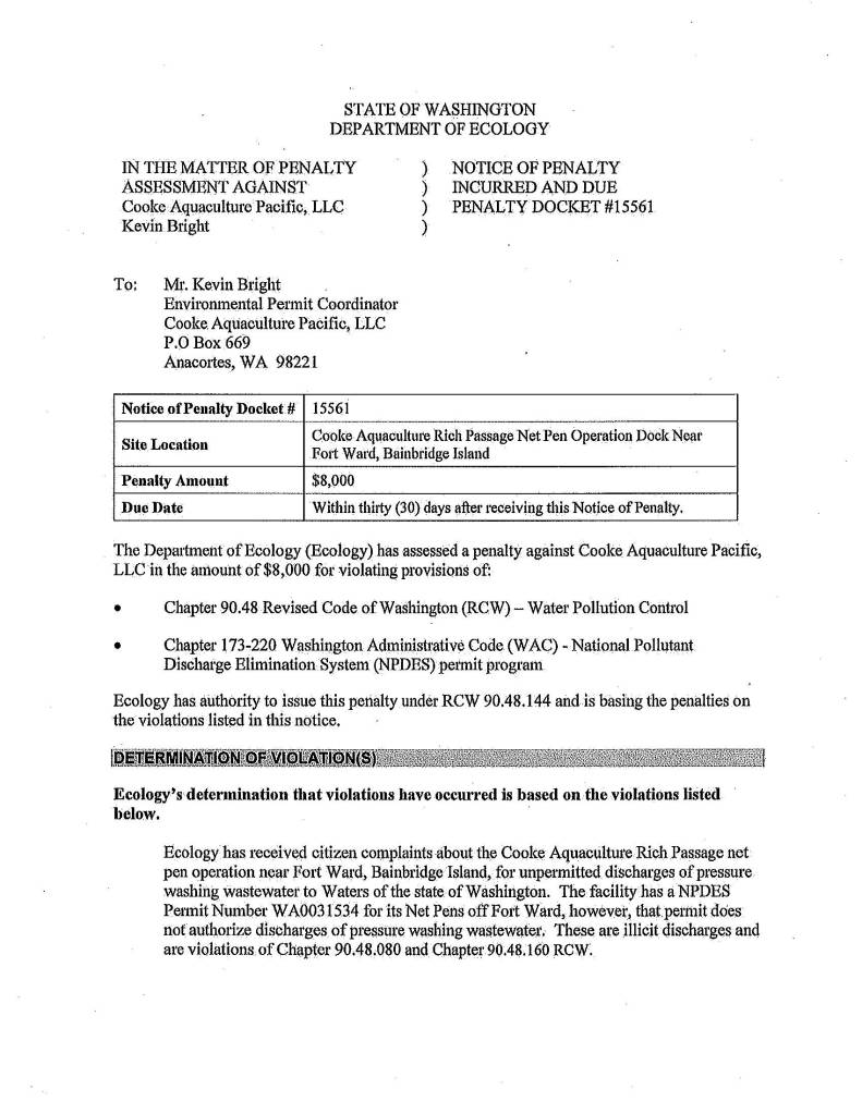
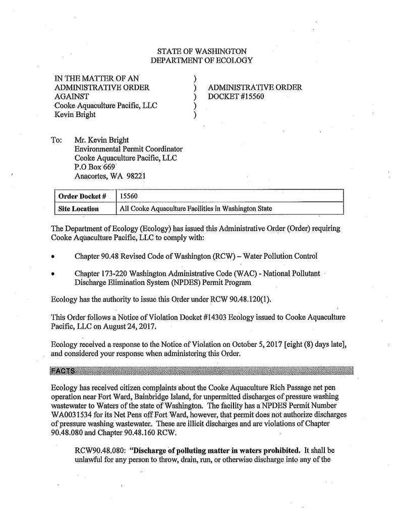
Washington Department of Ecology has been directing Cooke to fix water quality violations at its dock on Bainbridge Island near their net pen facility in Rich Passage since the agency began receiving citizen complaints in August 2016.
As a result, the the ecology department issued Cooke an $8,000 penalty for violating state law. It is illegal to pressure wash or repair equipment, boats, nets, docks, vehicles, etc. over the water. In addition to the penalty, Cooke is required to immediately stop allowing pressure washing wastewater to enter Puget Sound.
This fine comes after ecology sent two warning letters, issued a notice of violation, and requested that the company fix the violations on many occasions.
Cooke is specifically being penalized for:
· Unlawfully discharging polluting matter into state waters.
· Pressure washing equipment, nets, and vehicles over the water and allowing wastewater to enter Puget Sound.
· Changing boat engine oil over the water.
· Failing to put safeguards in place to protect water quality.
· Failing to correct water quality violations when directed.
View the penalty and administrative order below for specific details.
Ecology investigates reports of pollution from citizens. Members of the public can report pollution or environmental spills to ecology online.
This penalty is for violations at Cooke’s commercial net pen facility in Rich Passage near Bainbridge Island and is not related to the net pen collapse at their facility near Cypress Island. The state is currently investigating that incident – for which ecology may issue a separate enforcement action.
